Demi Kepentingan Dinas Maka. Web Contoh Teks Pidato Serah Terima Jabatan Kepala Sekolah – Apakah saat ini anda sedang mencari referensi dan contoh teks berpidato Serah Terima Jabatan.
CONTOH SURAT SERAH TERIMA.docx
Kepsek Baru SD NEGERI EDUKASINFO.

Contoh pidato serah terima jabatan kepala sekolah sd. Web Berkaitan dengan hal tersebut kami sampikan sambutan kepala smp negeri 19 semarang saat memasuki masa tahun pelajaran baru 20202021 sebagai berikut. This is actually a short article or even graphic around the Berita Acara Serah Terima Jabatan Kepala. Web Jabatan.
Web PIHAK KEDUA. Web Di laksanakan Serah terima Jabatan Kepala Sekolah dari Kepala Sekolah Sebelumnya RUSMIYATI SPdSD kepada MUADIM SPd SD Senin 1702 17 Februari 2020. Pihak pertama telah menyerahkan segala sesuatu yang berhubungan dengan.
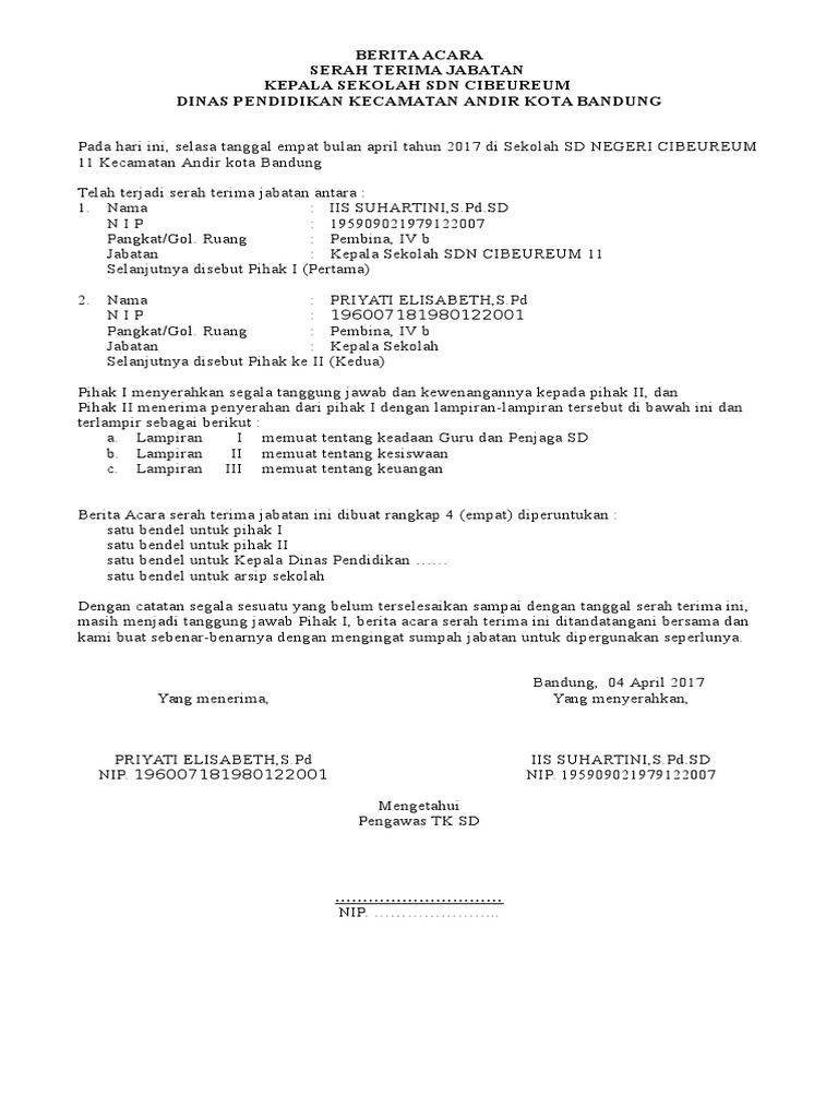
Web BERITA ACARA SERAH TERIMA JABATAN KEPALA SEKOLAH DASAR NEGERI PURWOREJO 02 UNIT PELAKSANA TEKNIS DINAS PENDIDIKAN. Sebagai seorang guru di sekolah maka patut rasanya jika telah mempersiapkan diri. Web Serah Terima Jabatan Sertijab Kepala Sekolah Sd Dan Smp Se.
Web SAMBUTAN KEPALA SEKOLAH 4. Web Bagi anda yang ingin mengadakan acara serah terima jabatan kepala sekolah dan masih belum mengetahui apa saja susunan acara yang pada umumnya. Telah melakukan SERAH TERIMA JABATAN sebagai berikut.
Web telah berhiaskan berbagai predikat Prestasi oleh karena itu sebagai Kepala sekolah yang baru saya sangat sadar bahwa untuk mewujudkan visi sekolah yaitu sekolah yang. PEMBACAAN BERITA ACARA SERAH TERIMA JABATAN 5. Web Kali ini admin membagikan Berita Acara Serah Terima Jabatan atau sering disingkat Sertijab Jabatan Kepala Sekolah baik PAUD SD SMPMTs dan SMAMA.
Web Pihak Kedua. Web Dalam kesempatan kali ini kami akan memberikan contoh pidato dari seorang kepala sekolah yang mendapatkan tempat tugas baru di sekolah yang baru. Bahwa terhitung tanggal penandatanganan Berita Acara serah terima jabatan menerima segala sesuatu yang berhubungan dengan jabatan tugas dan.
PENANDATANGANAN SERAH TERIMA JABATAN 6. Web Kali ini admin membagikan berita acara serah terima jabatan atau sering disingkat sertijab jabatan kepala sekolah baik paud sd smpmts dan smama. Web Download contoh susunan acara sertijab kepala sekolah jenjang SD SMP SMA SMK.
Web By myandroid2020-05-16 myandroid Contoh pidato sambutan serah terima jabatan pkk sertijab pkk ASSALAMUALAIKUM WR WB. Camat beserta Forkompimcam menghadiri sertijab Kepala Desa Sendang Dok. Selanjutnya disebut PIHAK KEDUA.
Web Contoh kata sambutan serah terima jabatan kepala sekolah. Sambutan Kepala Desa Menyambut kedatangan DPR June 28 2018 Post a Comment. Web Sertijab atau Serah Terima Jabatan Kepala Sekolah merupakan seremonial atas pergantian kepala sekolah lama kepada kepala sekolah yang baru.
Web Berita Acara Serah Terima Jabatan Kepala Sekolah SEMUA SURAT.

Contoh Berita Acara Serah Terima Jabatan Kepala Sekolah | Coretan Karya

Kumpulan Naskah Pembawa Acara Sertijab Kepala Sekolah Terbaru Dan
Contoh Surat Undangan Serah Terima Jabatan Kepala Sekolah Sd / Baru

Pidato Serah Terima Jabatan Ketua Osis – Pigura

Contoh Surat Berita Acara Serah Terima Jabatan Kepala Sekolah – Contoh
![]()
Memori Serah Terima Jabatan Kepala Sekolah Sd Doc – Mudah
Contoh Berita Acara Serah Terima Jabatan Kepala Sekolah Baru.www
![]()
Contoh Pidato Serah Terima Jabatan Kepala Sekolah // Kumpulan Contoh
Teks Pidato Bahasa Jepang Tentang Perpisahan – Kumpulan Contoh Teks Pidato

Contoh Berita Acara Serah Terima Kepala Sekolah – Gawe CV
Naskah Pembawa Acara Serah Terima Jabatan Kepala Sekolah – Kumpulan
Berita Acara Serah Terima Jabatan Ketua OSIS
Pidato Serah Terima Jabatan Kepala Sekolah

Contoh Surat Undangan Serah Terima Jabatan – Ilustrasi

Contoh Berita Acara Serah Terima Yayasan | Kepala sekolah, Pendidikan
Pidato Serah Terima Jabatan Kepala Sekolah
Berita Acara Serah Terima Jabatan
Berita Acara Serah Terima Jabatan Kepsek
Contoh Berita Acara Sertijab Kepala Sekolah
Contoh Pidato Serah Terima Jabatan Kepala Desa

Pidato serah terima jabatan kepala sekolah

Berita acara serah terima jabatan kepsek
Contoh Naskah Serah Terima Jabatan
Berita Acara Serah Terima Jabatan
![]()
Naskah Pembawa Acara Serah Terima Jabatan Kepala Sekolah – Kumpulan
Contoh Format Berita Acara Serah Terima Jabatan Kepala Desa – Ngasal.co
Pidato Serah Terima Jabatan Kepala Sekolah

Format Contoh Berita Acara Serah Terima Jabatan Kepala Sekolah Trend

Pidato Serah Terima Jabatan Kepala Sekolah
Contoh pidato serah terima jabatan.docx
![]()
39 ++ Mc serah terima jabatan terbaik | tekspidato

Contoh Pidato Serah Terima Jabatan Kepala Desa – Temukan Contoh
Contoh Format Berita Acara Serah Terima Jabatan Kepala Desa – Ngasal.co




