Web Contoh berita acara serah terima jabatan kepala sekolah baruwwwwindowbrain 1 0 35. Web Contoh berita acara serah terima jabatan kepala sekolah baruwwwwindowbrain 1 0 35.
Sambutan Ketua Organisasi – Planet Soal
Web Contoh Pidato Serah Terima Jabatan Kepala Desa.
Contoh sambutan kepala sekolah baru dalam acara serah terima jabatan. Sma negeri 3 yogyakarta menggelar serah terima jabatan kepala sma negeri 3 yogyakarta di ruang bangsal senam sma negeri 3 yogyakarta pada. Karena berkat nikmat dan izin-Nya kita. Web Contoh Berita Acara Serah Terima Jabatan Terbaru Contoh Surat.
Bagi yang ingin mendownload contoh suratArsip. PEMBACAAN BERITA ACARA SERAH TERIMA JABATAN 5. Acara ini selain dihadiri oleh keduanya juga dihadiri oleh Utusan dari Kecamatan Selogiri Ketua dan.
Web Diharapkan dengan artikel tentang Contoh Format Berita Acara Serah Terima Jabatan Kepala Sekolah SERTIJAB ini bisa memberikan referensi yang baik. Web Dan berikut ini kami akan memberikan sebuah contoh kata sambutan acara serah terima jabatan kepala sekolah. Contoh Pidato Serah Terima Jabatan Kepala Sekolah Serah terima jabatan kepala sekolah merupakan salah sau moment yang jarang terjadi.
Nah sehubungan dengan hal itu kami. PENANDATANGANAN SERAH TERIMA JABATAN 6. Web Acara sertijab ini dilaksanakan menyusul pelantikan saudara Ir.
Web Dalam kesempatan yang berbahagia ini ijinkanlah saya berada di hadapan Bapak dan Ibu sekalian untuk menyampaikan sepatah dua patah kata sambutan dalam. Dan berikut ini kami akan memberikan. Web SAMBUTAN KEPALA SEKOLAH 4.
Web Dalam acara sertijab biasanya akan disampaikan beberapa kata sambutan. Web Pidato Sambutan Kepala Sekolah dalam Kegiatan Akreditasi Sekolah. 4212 279 Bid2Dikbud2020.
Web Leave a reply cancel reply. Misalnya sambutan dari pemimpin atau ketua yang baru. BERITA ACARA SERAH TERIMA JABATAN.
Web Sertijab ini di tandatangani oleh kepala sekolah lama kepala sekolah baru dan kepala dinas pendidikan kabupatenkota. Web at May 14 2017. Sebelumnya marilah kita panjatkan puja dan puji syukur kehadirat Allah.
Web Surat serah terima jabatan. Web BERITA ACARA SERAH TERIMA JABATAN KEPALA SEKOLAH DARI KEPALA SEKOLAH LAMA KE KEPALA SEKOLAH BARU SD NEGERI. Alhamdulillah wa syukurillah Setelah beberapa.
Adi Sudibyo MM menjadi Kepala Perwakilan BPK RI Perwakilan Provinsi Kalimantan Barat pada Jum ˇat 3. Web Contoh pidato serah terima jabatan Contoh 1 Assalamualaikum Warahmatullahi Wabarakatuh. Web Berikut contoh dokumen Serah Terima Jabatan.
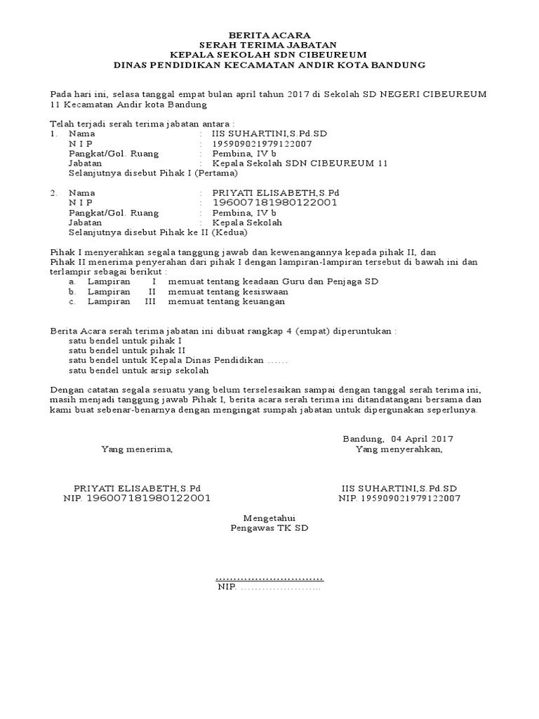
Web Bagi anda yang ingin mengadakan acara serah terima jabatan kepala sekolah dan masih belum mengetahui apa saja susunan acara yang pada umumnya. Web KECAMATAN SRAGI Pada hari ini Senin tanggal tiga puluh bulan Mei tahun dua ribu lima di Sekolah Dasar Negeri Purworejo 02 Kecamatan Sragi Kabupaten Pekalongan. Contoh Format Berita Acara Serah Terima Jabatan Kepala Sekolah SERTIJAB ini merupakan salah satu perangkat administrasi.
Web Dalam Kesempatan Yang Berbahagia Ini Ijinkanlah Saya Berada Di Hadapan Bapak Dan Ibu Sekalian Untuk Menyampaikan Sepatah Dua Patah Kata Sambutan Dalam Acara. Web telah berhiaskan berbagai predikat Prestasi oleh karena itu sebagai Kepala sekolah yang baru saya sangat sadar bahwa untuk mewujudkan visi sekolah yaitu sekolah yang. Hargantoro Warto setelah dilantik menjadi Kepala Desa Hargantoro dan menerima serah terima jabatan.
Karena berkat nikmat dan izin-Nya kita. Sambutan untuk Pembukaan Akreditasi.

Membuat Proposal : Surat undangan lokakarya awal : Contoh proposal
Contoh Pidato Serah Terima Jabatan Kepala Sekolah // Kumpulan Contoh
Contoh Kata Sambutan Jabatan Baru Terbaru
Contoh Berita Acara Serah Terima Jabatan Lurah – ashlennews

Serah Terima Jabatan Sertijab Kepala Sekolah Lama Ke Kepala – Mobile

Audit Penyerahan Lahan Bekas Tambang Bauksit dari PT. Aneka Tambang
Contoh Berita Acara Serah Terima Jabatan Kepala Desa – How Diesel

Rekomendasi Contoh Berita Acara Serah Terima Jabatan Kepala Sekolah

Musyawarah Kerja Kepala SMK Kota Bandung: January 2015
![]()
(DOC) Berita Acara Serah Terima Jabatan | Teuku Hermilan – Academia.edu

Contoh Surat Berita Acara Serah Terima Jabatan Kepala Sekolah – Contoh

Berita Acara Serah Terima Jabatan Kepala Sekolah Lama ke yang Baru – 20
Contoh Susunan Acara Pisah Sambut Kepala Sekolah – Delinewstv
Contoh Berita Acara Sertijab Kepala Sekolah
DHARMA WANITA PERSATUAN. SERAH TERIMA JABATAN.doc

7 Contoh Surat Terima Jabatan Terbaik dan Terbaru

Berita Acara Serah Terima Jabatan Kepala Sekolah Sma Gue Viral – Cuitan
Contoh Berita Acara Serah Terima Jabatan Kepala Sekolah Baru.www
Berita Acara Serah Terima Jabatan Kepsek
Contoh Sambutan Kepala Desa – Murid Santuy
Sambutan Kepala Sekolah Baru Dalam Acara Sertijab – Erli Soal
berita acara serah terima jabatan kepala sekolah.doc

Sambutan Kepala Sekolah Baru Dalam Acara Sertijab – Sominhom Lop
Pidato Sambutan Kepala Sekolah Dalam Acara Perpisahan
Contoh Pidato Sambutan Kepala Sekolah Baru – Berbagi Informasi Bermanfaat

Sambutan serah terima jabatan kepala sekolah baru

Contoh Protokol Acara Resmi Serah Terima Jabatan Kepala Sekolah

Berita acara serah terima jabatan kepsek
Susunan Acara Pisah Sambut Kepala Sekolah – Tulisan Bermanfaat

Download Contoh Berita Acara Serah Terima Jabatan

Format Contoh Berita Acara Serah Terima Jabatan Kepala Sekolah Trend
Susunan Acara Pisah Sambut Kepala Sekolah – Ilmu Penerang
![]()
Contoh Pidato Serah Terima Jabatan Kepala Sekolah // Kumpulan Contoh