Contoh Teks Pembawa Acara Pengajian Rutin dan Umum Lengkap. Contoh Teks MC Pembawa Acara Tahlilan- Pada kesempatan ini kami akan berbagi Contoh Teks MC Pembawa Acara TahlilanBag i anda yang saat ini membutuhk an naskah nya.
Teks Susunan Acara Yasinan Pdf
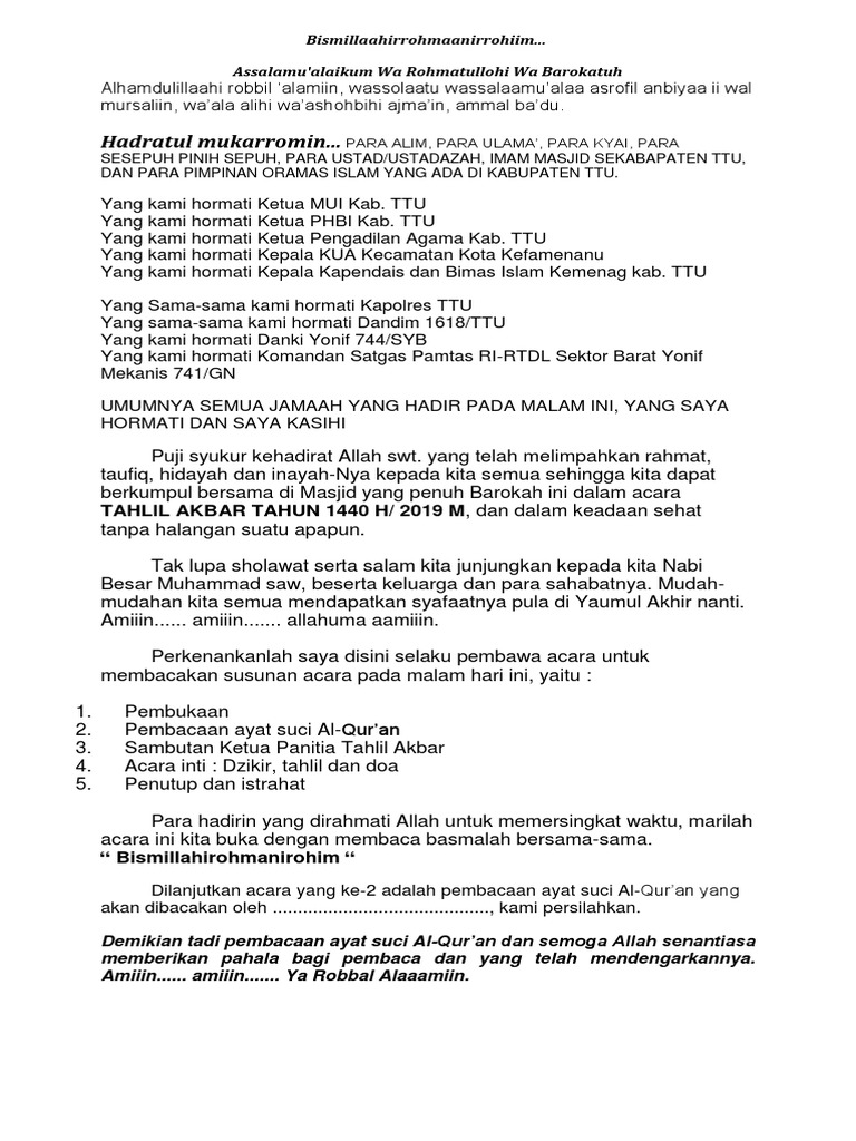
Contoh Naskah Mc Susunan Pembawa Acara Yasinan.
Teks pembawa acara tahlilan. Contoh Teks Sambutan Tuan Rumah Pada Acara Tahlilan Malam Ke 7 Alhamdulillahirobbil aalamin washolaa tuassalaamualaa asrofil anbiyaai wal mursaliin wa. Alhamdulillah Alhamdulllahilladzi anzala sakinata fiiqulubil muminin liyazdaadu iimanan maaa immanihim. September 22 2014 by admin 0.
Susunan bacaan zikir tahlil dan doa arwah ini diharapkan dapat memudahkan bagi para pembaca sekalian sebagai pemandu pembacaan tahlil atau sekadar pengingat bila mana. Contoh Teks Pembawa Acara Tahlil Berbahasa Jawa dan Indonesia Beserta Undangan dan Teks Tahlil Lengkap. Alhamdulillah alhamdulllahilladzi anzala sakinata fiiqulubil muminin liyazdaadu iimanan maaa immanihim.
Alhamdulillahi robbil alamiin wassolatu wassalamualaa asrofil ambiyaa ii wal mursaliin. Alhamdulillahi robbil alamin assholatu. Pembawa Acara Yasin Tahlil Terbaik – Hallo sahabat Kumpulan Contoh Teks MCSelamat datang diblog kamiBlog kumpulan contoh contoh teks pembawa acara atau MC.
Contoh sambutan dalam menyambut kelahiran bayi menjadi salah satu praacara sebelum memasuki acara inti yaitu. Kumpulan teks pembawa acara yasin dan tahlil bahasa jawa. Contoh Teks MC Pembawa Acara Tahlilan Pada kesempatan ini kami akan berbagi Contoh Teks MC Pembawa Acara Tahlilan.
Teks Pembawa Acara Tahlilan Contoh Teks Pembawa Acara. Download undangan tahlilan 40 100 1000 hari haul word. Contoh Teks Pembawa Acara Tahlilan Bahasa Sunda Terbaik Kamis 01 Juli 2021 Edit Contoh teks mc pembawa acara tahlilan pada kesempatan ini kami akan berbagi contoh.
Alhamdulillah Alhamdulllahilladzi anzala sakinata fiiqulubil. Itulah Contoh Teks MC Pembawa Acara Tahlilan yang dapat kita gunakan. Berikut adalah susunan bacaan tahlil lengkap dengan terjemahannya.
Bag i anda yang saat ini membutuhk an naskah nya Untuk lebih jelasnya silakan langsung saja simak Contoh Teks MC Pembawa Acara Tahlilan berikut. Teks MC Pengajian Rutin dan Umum Terbaru 2021. Teks pembawa acara tahlilan.
Begitulah contoh naskah pembukaan tahlil. Susunan bacaan tahlil. Itulah Contoh Teks MC Pembawa Acara Tahlilan yang.
Itulah Contoh Teks MC Pembawa Acara Tahlilan yang dapat kita guna kan ketika membuka acara tahl ilan untuk mengirim doa kepada keluarga. Teriring doa semoga kesejahteraan keselamatan dan barokah Allah senantiasa tercurah kepada kita semua aamiin. Untuk mengetahui perbedaan tek pembawa acara antara RT-nan biasa dan acara doa tahlil kematian silahkan lihat dulu teks bahasa Jawa RT-nan berikut ini.
Bagi anda yang saat ini membutuhkan naskahnya Untuk lebih jelasnya silakan langsung saja simak Contoh Teks MC Pembawa Acara Tahlilan berikut ini. Pidato Pembawa Acara Tahlilan dalam Bahasa Jawa. Berikut bacaan surah Al Fatihah dalam bentuk tulisan bahasa.
Diawali hadrah dan surat Al-Fatihah. Bagi anda yang saat ini membutuhkan. Baca Juga.
Teks Pembawa Acara Tahlilan dalam Bahasa Jawa. Teriring doa semoga kesejahteraan keselamatan dan barokah Allah senantiasa tercurah kepada kita semua aamiin. Sebelum membaca doa tahlil biasanya diawali dengan membaca Surat Yasin dilanjutkan baca hadrah dan surat Al-Fatihah lalu membaca surat Al.

Teks Sederhana Mc Pembawa Acara Tahlilan Yang Paling Sering Digunakan Auto Pd Sesuai Intonasi Youtube
Kumpulan Contoh Teks Pembawa Acara Pengajian Yasin Tahlil Filtrujillo Com

Teks Pidato Untuk Acara Tahlilan Terbaru Contoh Terbaik Makalah Pedia
Contoh Teks Pembawa Acara Pernikahan Dalam Bahasa Lampung Delinewstv
Susunan Acara Dan Panduan Kegiatan Tahlilan Pdf
Contoh Pembawa Acara Tahlilan 7 Hari Tukaffe Com
Teks Pembawa Acara Tahlilan Dalam Bahasa Jawa Pdf

Contoh Naskah Mc Pembawa Acara Tahlilan Bahasa Indonesia Muda Mudi Condrowangsan
Contoh Teks Pembawa Acara Tahlil Rutin Tukaffe Com
Kumpulan Contoh Kata Kata Penutup Acara Tahlilan Filtrujillo Com

Contoh Naskah Sambutan Tuan Rumah Pada Acara Yasinan Nuroehi
Contoh Teks Pembawa Acara Tahlil Tukaffe Com

Contoh Teks Mc Tahlil Malam Ke 1 Hingga Malam Ke 7 Kajian Islam

Contoh Teks Pembawa Acara Tahlil Bahasa Jawa Tukaffe Com

Teks Mc Pembawa Acara Pemandu Acara Tahlil Malam Ke 7 Wahyudin Bin H Join
